Induced asthma – Acute sensitization/ challenge model (14 days)
Induced asthma – Acute sensitization/ challenge model (14 days)
Model 2: Acute sensitization/ challenge model (14 days)
- Description: Sensitized with HDM by intranasal administration on day 0, followed by intranasal challenge at days 6, 7, 8, 9, 10. Mice were sacrificed 3 hours after the last challenge.
- Duration: 14 days.
- Attributes: Acute sensitization/ challenge model.
- Endpoints: Total and differential cell count. Inflammatory mediator content.
- Material used: D. pteronyssinus extract from Citeq


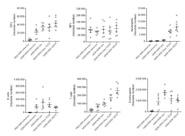
Citeq products elicit a stronger T-cell and neutrophil infiltration than products of competitors. Changes in other cell populations are of the same magnitude across all products.

IL-5, 10 & 13 cytokine production is equal in all products. IL-17 and IFN-y production was higher when Mice were treated with Citeq HDM 15G10.
